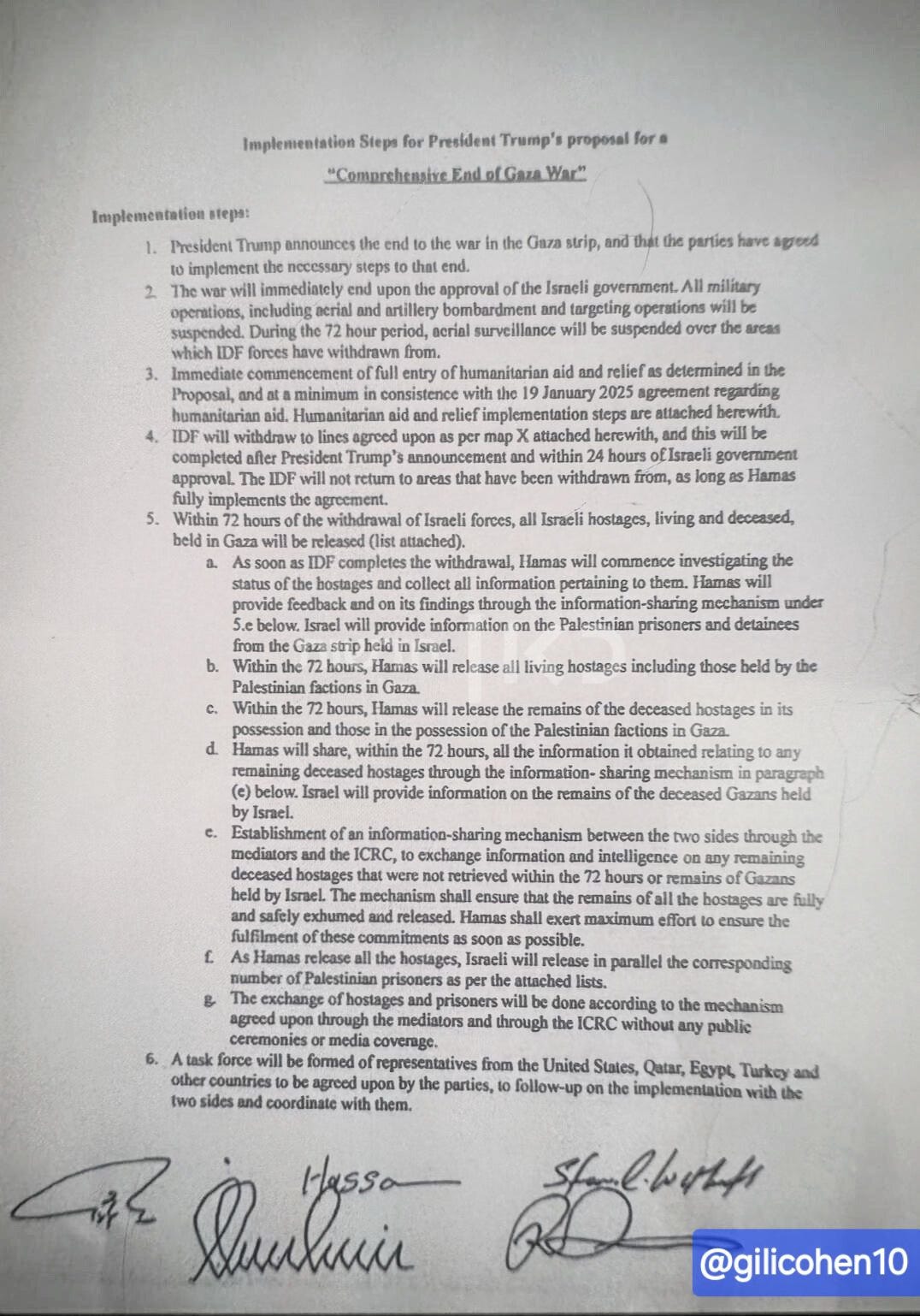
With great fanfare, negotiators from Hamas, Israel, Egypt, Turkey, and Qatar signed the “Comprehensive End of Gaza War” submitted by the Trump Administration on October 9, 2025.
Keep reading with a 7-day free trial
Subscribe to GEOPOLITICO to keep reading this post and get 7 days of free access to the full post archives.

